個別指導WAM ブログ

  1. 2017.05.23

    よく読まず!適当に読む!(勉強の話ではありません)

    • 空港前校

    こんにちは!Wam空港前校の島です。   さきいん あつい 日 が ついづて ますね。 たちょいう かんり には 気をけつて くさだい。 にがいた は 雨の イーメジ が 強い分 晴天の 日には どかこへ おかでけ したくなりますね♪ 生徒たちは この暑い中 自習 に きくてれます。 教室 で 勉強 するもよし 家で やるもよし。 残り約1週間 がんばまりしょう!   さて、 にげんん は 文字を にしんき するとき 単語の 最初と最後の文字が 固定 されいてれば じばんゅん を いかれえても よめるらしいです。 どでうすか? よまめすよね?   コンメト お待ち

  2. 2017.05.22

    嬉しい報告

    • 空港前校

    こんにちは!Wam空港前校の島です。   今日17時位に授業のない高校生が教室に来ました。 笑顔で入室。 その笑顔だけで私は全てを悟り、嬉しい気持ちになりました。   数学がいつも30~50点。体験生としてきたときにはやる気もありませんでした。 しかし、体験を通して「通いたい!」と言ってくれるようになりました。 【次回の数学のテストで50点取れなかったら退塾】という条件で通うことになりました。   先週、Wamに通い始め初めてのテストがありました。 すごく不安でした。   その不安も今日の笑顔で吹き飛びました。   「先生!やったよ!塾続けられ

  3. 2017.05.18

    初飛行機

    • 空港前校

    こんにちは!WAM空港前校の島です。   中学生の修学旅行の時期がやってきました。いいなーと思いながら、私も明日大阪に行きます。 移動手段は飛行機(プロペラ機)。実は人生初飛行機。ちょっと緊張しています。   金曜、土曜は島は不在ですが、以下の時間帯は教室空いてます。   5/19(金)16:00~21:30 5/20(土)9:00~13:00   自習お待ちしております。     新潟市東区太平3-21-8 2F ℡025-271-3220 個別指導Wam空港前校 教室長 島

  4. 2017.05.17

    少しずつでも・・・

    • 空港前校

    少しずつでも・・・

    こんにちは!WAM空港前校の島です。   昨日から教室にこんなものを貼りました。生徒に対して試験前だけではなく、毎日少しずつでもいいからなにかを吸収していってほしいという意味を込めたものです。   試験前じゃなくても、教室で自習をしたいと言われればいつでも開けます。みなさんもぜひ、お待ちしております。   新潟市東区太平3-21-8 2F ℡025-271-3220 個別指導Wam空港前校 教室長 島

  5. 2017.05.16

    もみあげ

    • 空港前校

    こんにちは!WAM空港前校の島です。   最近あったクスッとくる話があります。   美容院に行った時のことです。 隣に中学生が座っていました。どうやら野球部らしく、しかし坊主は嫌でスポーツ刈りを注文していました。 話の流れからどうやら進学校にいきたいらしく、部活との両立が大変だとか。 終盤になって美容師が「もみあげはどうする?」と聞いたときに、中学生はしばらく黙り込んでいました。 もう一度聞き直したときに、中学生はこう答えました。 「えーと、揉まなくても大丈夫です」 思わず声が出そうになりました。どうやら、もみあげの意味がわからなかったみたいです笑   新潟市東区

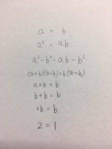
  6. 2017.05.16

    1=2

    • 空港前校

    1=2

    こんにちは!WAM空港前校の島です。   ふとある証明を思い出しました。 なんと【1=2】の証明です。 中学生の知識だけを使い証明することができるのです。しかし、この証明には誤りがあります。 考えてみましょう!       新潟市東区太平3-21-8 2F ℡025-271-3220 個別指導Wam空港前校 教室長 島

  7. 2017.05.15

    笑いを入れて

    • 空港前校

    こんにちは!WAM空港前校の島です。   「なんでマイナスとマイナスを掛けるとプラスになるの?」   私はこう答えます。 「嫌いな人って自分にとってマイナスな存在だよね?あと転ぶことってマイナスなことだよね? じゃ、嫌いな人が転んだらどう?自分にとってプラスじゃない?笑」   おかしい例えですが大体の生徒が笑ってくれます。もちろんその後しっかり解説します。 どうすれば脳に記憶を植え付けさせることができるか、と考えたときに、 私は印象的な説明をすることが効果的だと思います。   それを踏まえて私が指導する際に意識していることは3つ ・笑いをいれる ・例え話

  8. 2017.05.15

    北信越大会!!

    • 空港前校

    こんにちは!WAM空港前校の島です。   「先生は休みの日に何をしているの?」と聞かれることがよくあります。 私は決まって「ソフトボールをやってるよ」と答えます。   私は小学1年生の頃に野球を始め、高校でも甲子園を目指せるところで野球をやっていました。 大学でもサークルで野球をやっていました。 じゃなんでソフトボールなのか。大学時代のバイト先の先輩に、チームに誘われたことがきっかけでした。   先週末に新潟代表として、北信越大会にいってきました。 全国大会の開催地は福岡ということもあり、行きたい気持ちは大きかったですが、残念ながら叶わず・・・   来年

  9. 2017.05.12

    有難いお話し

    • 空港前校

    こんにちは!WAM空港前校の島です。 いきなりなんですが、人に話したくなるような、有難いお話しをさせていただきます。   苦難、困難、災難が起きるから人生は辛い。これらが起きない人生を難が無いと書いて【無難】な人生と言います。 しかし、人は必ず、苦難、困難、災難があり、それを乗り越え強くなっていくのです。難は誰にでもあるもの。 難が有ると書いて【有難】。 有難・・・ どこかでみたことありませんか? そうなんです。難が有るとかいて有難。これは有難い(ありがたい)と読みます。 人は難が有る人生だからこそ、【有難い人生】ということになります。 苦難、困難、災難が起きたときは、「なんで自分ば

  10. 2017.05.11

    IQ問題

    • 空港前校

    こんにちは!WAM空港前校の島です。   最近小学生が私に問題を出してきます。しかしどれもすぐに解き終わり、逆に「先生問題だしてよ!」と言ってきます。 実際に出した問題を載せたいと思います。   【ここに正六角形があります。この中に三角形が2つできるように線を1本引きなさい】   なんと小学6年生の女の子一人だけが解くことが出来ました。流石です。   答えは次回のブログに載せたいと思います。    

教室検索

  • 郵便番号で探す
  • 市区町村名・教室名で探す

\入力はカンタン30秒

フリーダイヤル® 0120-20-7733 受付時間:10:00~22:00(年中無休)