教室ブログ

  1. 個別指導塾WAM
  2. 個別指導WAM ブログ
  3. 茨城教室
  4. 水戸市
  5. 水戸駅前校
  6. 大学受験のブログ一覧
  7. 【大学入試】【東京都立大学】2025年入学試験問題:数学

2025.09.22

【大学入試】【東京都立大学】2025年入学試験問題:数学

みなさんこんにちは!個別指導WAM川越駅前校です。

本日は東京都立大学の数学入試問題を紹介します。

2025年 東京都立大学(理系数学)

時間は75分の大問3題構成で

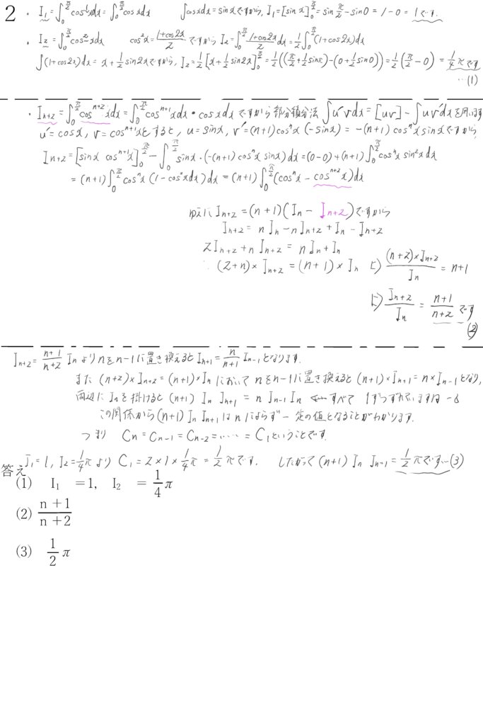
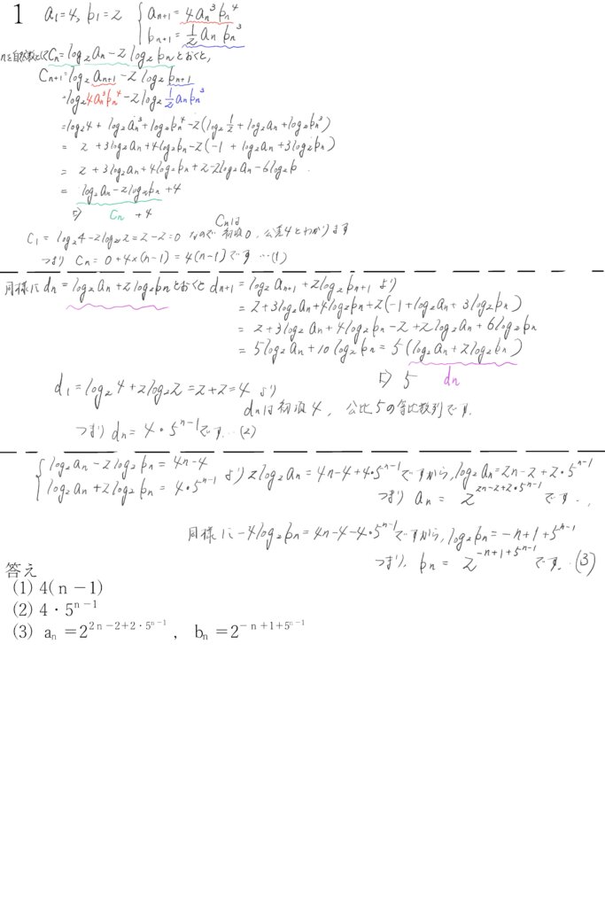
1.漸化式 数学B

2.ウォリス積分 数学Ⅲ

3.ベクトル 数学C

という内容です。

 

どれも丁寧な誘導がついているので、それにうまく乗れるかがポイントとなっています。

類題を解くことによって感覚を掴んでいき対策をしてきましょう。

 

この記事をシェア

  • facebook
  • twitter
  • instagram

教室検索

  • 郵便番号で探す
  • 市区町村名・教室名で探す

\入力はカンタン30秒

フリーダイヤル® 0120-20-7733 受付時間:10:00~22:00(年中無休)