こんにちは、川越駅前校です。本日は難関中学の入試についてです。

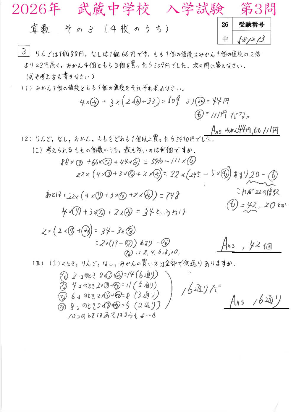
2026年 武蔵中学校
今年は4題構成で
1.小問(文章題(売買)・図形(合同と相似))
2.文章題(速さ)
3.文章題(場合の数)
4.図形(面積の計量)
という内容です。
例年通り1つ1つ吟味し、書きだす粘り強さが求められる試験となっています。
図形の計量や整数の性質など中学・高校の内容にまで及ぶ出題なので、早め早めの対策を心がけたいところです。
↓【各校舎・合格実績】はコチラ↓
(🎊NEW🎊)【合格速報】🎊受験結果(2026年度)
↓【教室Instagram】はコチラ↓
個別指導WAM水戸駅前校(Googleクチコミ評価5.0⭐️⭐️⭐️⭐️⭐️)(@wam_mitoekimae163)
↓【茨城県高校・大学紹介】はコチラ↓
↓【過去の記事】はコチラ↓