こんにちは、川越駅前教室です。
本日は埼玉県最難関高校の入試を紹介します。


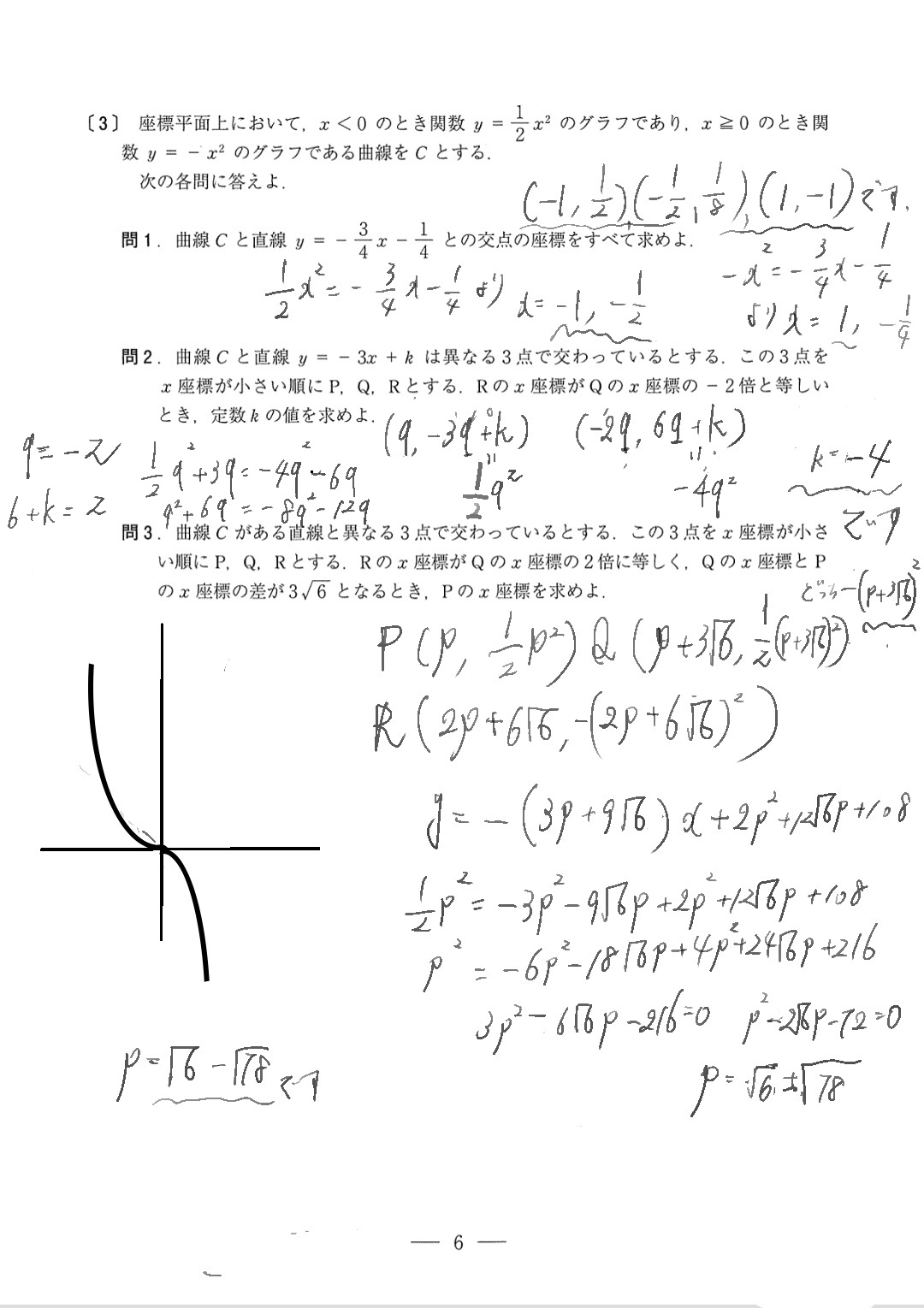
2025年 早稲田大学本庄高等学院 数学
例年通りの4題構成で
1.小問集合(数と式・図形)
2.資料の活用
3.比例と関数
4.図形
となっています。
しかし本年度は質・量ともにかなり難化しています。確実に得点できるところといえば因数分解や小問の図形くらいで、あとはどれも自信を持って答えるのが困難な内容です。計算も繁雑でちょっとでも手が止まるようだと厳しいのもその要因なのですが、それ以上に問われているのも典型的でないものが多いので、初見でも太刀打ちできるメンタルと自信も必要です。
そういった意味でも早い段階から+αの学習を心がけておきたいところです。