教室ブログ

  1. 個別指導塾WAM
  2. 個別指導WAM ブログ
  3. 茨城教室
  4. 水戸市
  5. 水戸駅前校のスタッフブログ
  6. 大学受験
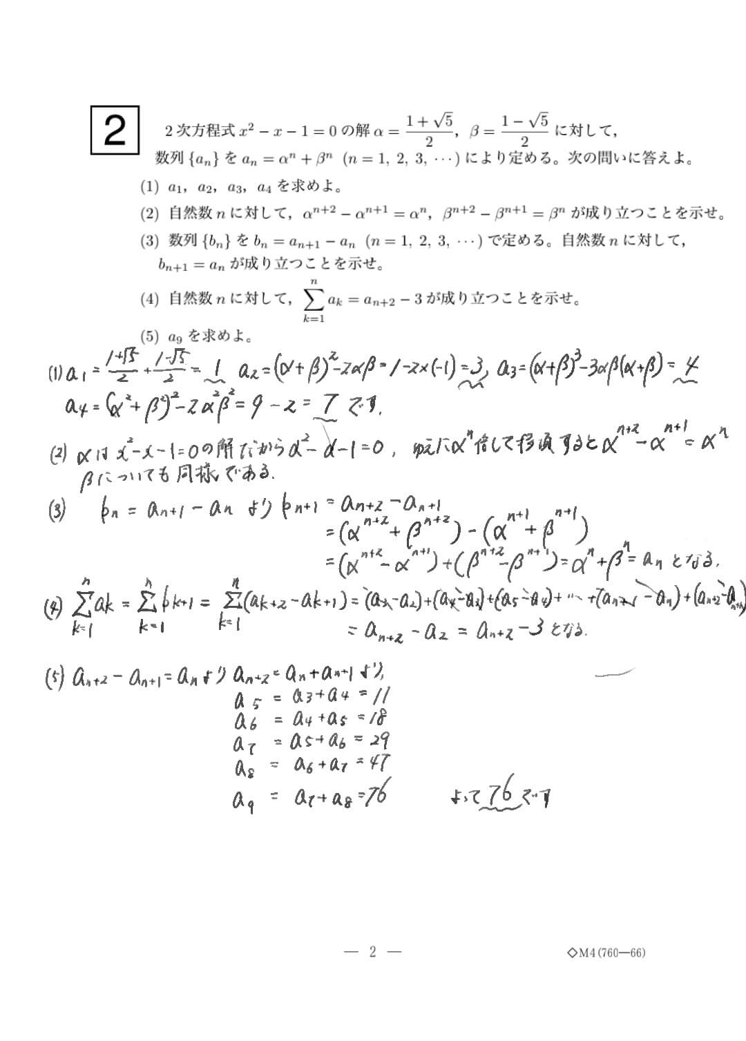
  7. 【大学入試】【新潟大学】2025年入学試験問題:数学

2025.06.04

【大学入試】【新潟大学】2025年入学試験問題:数学

こんにちは、川越駅前校です。

本日は国立大学の入試を紹介します。

2025年 新潟大学文系数学入試

時間は90分の4題構成となっています。

難度は標準からやや難しいものまで含まれており、

闇雲に計算をすると大変なもの、地道にしっかり数え上げるものと

まったく別の視点でのアプローチも必要となってきます。

ここ数年、難化傾向にあるので、ハイレベルな知識も視野に入れた学習を心がけましょう。

この記事をシェア

  • facebook
  • twitter
  • instagram

教室検索

  • 郵便番号で探す
  • 市区町村名・教室名で探す

\入力はカンタン30秒

フリーダイヤル® 0120-20-7733 受付時間:10:00~22:00(年中無休)