教室ブログ

  1. 個別指導塾WAM
  2. 個別指導WAM ブログ
  3. 茨城教室
  4. 水戸市
  5. 水戸駅前校のスタッフブログ
  6. 【大学入試】【電気通信大学】2024年入試問題:数学・第2問

2024.11.26

【大学入試】【電気通信大学】2024年入試問題:数学・第2問

こんにちは、川越駅前校です。

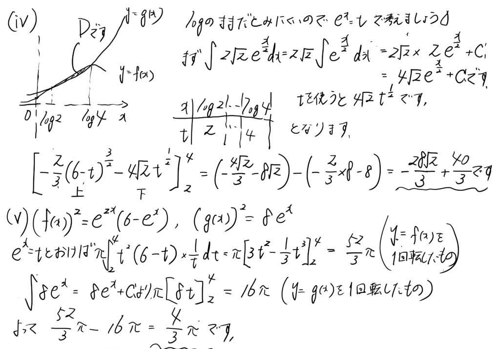
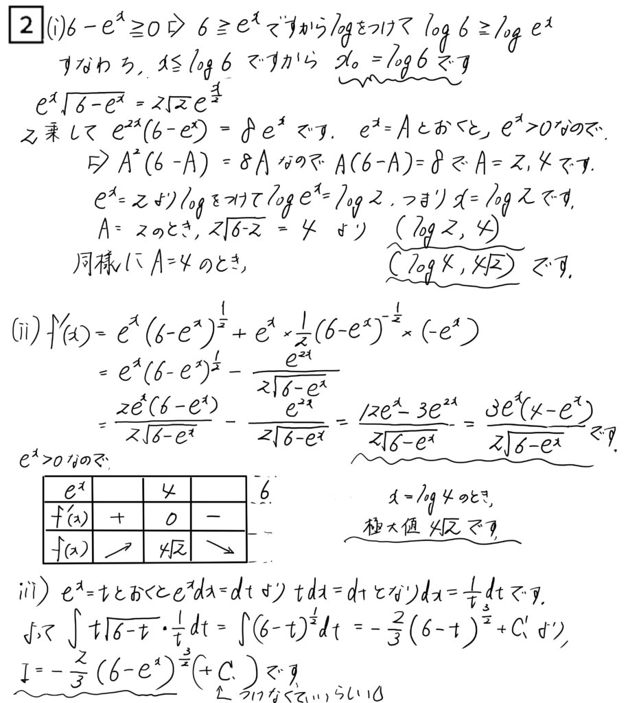
本日は電気通信大学・2024年入学試験第2問を紹介します。

数学Ⅲよりネイピア数をテーマにした面積・体積の計量問題です。

logからどう変換できるかや置換積分など、理解できてかつ使いこなせるかどうかを問われています。

誘導式の出題なので、1問1問を正確に解けるかどうかで点数も大きく変わってきます。回転体はπを忘れたりといったイージーミスもそれなりに起きるので、注意しておきたいところです。

この記事をシェア

  • facebook
  • twitter
  • instagram

教室検索

  • 郵便番号で探す
  • 市区町村名・教室名で探す

\入力はカンタン30秒

フリーダイヤル® 0120-20-7733 受付時間:10:00~22:00(年中無休)