
こんにちは、川越駅前校です。
本日は国立大学入試の数学Ⅲ範囲の問題を紹介します。
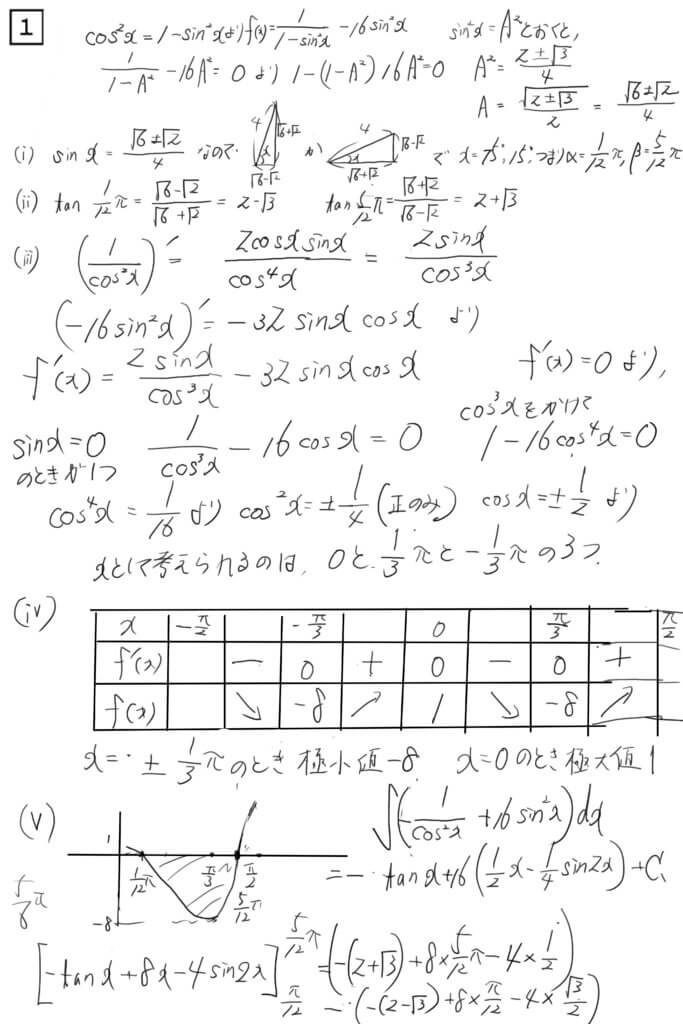
2024年 電気通信大学入学試験 第1問
三角関数の微分・積分がテーマの問題です。
15°と75°の比率が既知前提で登場していることから見ても、
+αの内容が当然のように求められていることが分かります。
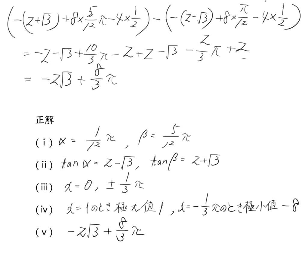
最後の面積は範囲が<となっているので、
範囲は最初の問題の答えの解の間であることに注意です。
難度は応用レベルですが、得られるものは多く、
公式の使い方、計算が正確にできているかもはかれます。
特に理系志望の方には実力を見るという意味でもいい問題です。