皆さんこんにちは。WAM黒原校の米井(こめい)です。
今までもこのブログの中で、先入観や偏見を取っ払って物事をみるクセづけをしていくと、モノの見方が開けて様々なことに気付けるようになりますよ~っていう点について何度か触れてきました。
今回もそんな感じの内容になります。
まぁ簡単に言いますと、ある事実に対して見方を変えると違った印象を受けるのが世の常ですよってことですね。
そしてそんな内容を意味する言葉で、割と誰でも知ってそうな言葉が、今回のタイトル!
「天才と○鹿は紙一重」ってやつです。
※○の中身はご想像にお任せいたします。
皆さんは円周率の求め方をご存知でしょうか?
突然どうした?米井!!って思うかもしれませんが、この円周率というのも見方によっては今回のタイトルの中に含まれている意味合いと近かったりするんです。
といいますのも、実は円周率の求め方って、「円周率」という一つの事実に対して色々な求め方があるんです!
そもそも円周率というのは、文字通り「円の直径に対する円周の長さの比」なわけですが、さぁこいつをどうやったら求めだすことができるんでしょう?
当然いろんな人たちが頭をひねりました。
一番初歩的な考え方でいくと、

赤い線・・・直径1cmの円がすっぽり入るような正八角形(外接正八角形)
青い線・・・直径1cmの円にすっぽり入るような正八角形(内接正八角形)
こういった感じで、円周というのは円に対して外接してる正多角形の外周よりも小さく、内接している正多角形の外周よりも大きいよねっていう着想です。
数学っぽく言うと
・外接する正多角形の外周 > 円周の長さ > 内接する正多角形の外周
ってことですね。
(赤い線と青い線の間に円があるよねってことです)
ここにある図は正八角形ですが、これを限りなく円に近づけるべく、気が遠くなるような大きな数字の正多角形で考えてみて、円周率を導き出そうって算段です。
素晴らしい発想ですよね!
そしてこの他にも、
・BBP(ベイリー=ボルウェイン=プルーフマン)公式と言われる、円周率を16進数で計算できるアルゴリズム。
・モンテカルロ法:ランダムな数値を生成して円周率を近似する方法。
→正方形の中に円を描き、その正方形の内部にランダムに点を打ちこんでいくことで、点が円の中に入る割合を使って円周率を推定
するという統計的な手法。
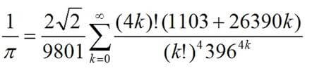
・ラマヌジャンの公式:非常に短い計算で精度の高い円周率を得ることができる公式

他にも色々あるとは思うのですが、こんな風に沢山の求め方が存在するんです!
結局はどの求め方が正しいとかなくて、無限に続く円周率みたいに、完全なる正解には決してたどりつけないってわけですね。
これって、生まれてから死ぬまでの人生に対して、その歩み方や選択はたくさんあるのと似てると思いませんか??
ちなみに、円の内角を決めるときになんで360度みたいな半端な数字にしたんでしょね?
もっと切りの良い100とかにしたほうがわかりやすそうなもんですけど、これもちゃんとした理由があるらしいですよ。
それは、360は約数がめっちゃあるから!
要するに360という数字はあまり大きすぎない数字で、割れる数がたくさんあるので使い勝手がいいということです。
確かに、1~9で考えても7以外の数字全部360を割れる数です!凄い!!
超便利な数字ですね。
特に時計を円で考えると、時間の計算でよく使う「12」とか「60」のどっちでも割れる360はめっちゃ使い勝手いいですもんね。
少し、話がそれちゃいましたが、他にも見方ひとつでガラリと印象が変わることはたくさんあるとおもいます。
次は、実は名将軍だったのではないかという徳川綱吉のお話です。
世界的に見ても愚かすぎる天下の悪法というイメージで名高い「生類憐れみの令(しょうるいあわれみのれい)」を出したお殿様で有名な方ですね。
別名犬公方(いぬくぼう)とまで言われたそうです。
よくある「生類憐れみの令」の一般的なイメージでいうと、米井も大好きお犬様を虐めたら極刑に処すというのがあると思います。
しかしその実態は、別に犬に限らず命あるもの全てを慈しみなさいというもので、捨て子や病人といった社会的弱者の保護も含んでおり、福祉政策としての一面も担っていたそうです。
何より、当時の時代感覚的に言うと、「弱いものは死んで当たり前」という考え方が一般的だったそうなのですが、この考え方を日本全土まるっと一気に変えたのが、実はこの「生類憐れみの令」だったんじゃぁなかろうかと言われだしてるんですよね。
深読みしすぎなのかどうかはわかりませんが、人をあやめたらダメだよねっていうのを、視点をもっと下げてあえて「生類」とすることにより、「動物がダメなんだから人間を傷つけるなんてもっての外だよね」っていう考えを、言わずもがな的な雰囲気で自然に定着させることができたのではなかろうかって言われ始めているというお話です。
現代において、日本は世界的に見てもとても思いやりのある国とされているのは、実はこの「生類憐れみの令」あっての歴史なのかもしれませんね。
今回のタイトルとなっている「天才と○鹿は紙一重」も、誰かと誰かの比較ではなく、見方を変えれば「一人の人間の中には多面性が常に潜んでいる」とも取れますよね。
どうです??
一つのことに対して色んな角度からの見方があること、ものの見方を変えるだけで、その印象がどれだけ変わるものなのか何となくイメージできましたでしょうか??
このブログ記事が、皆さんの日常における細やかな気づきの一助となれば幸いです。
←我が家のお犬様「まろすけ」