教室ブログ

2025.04.04

国立・琉球大学入試問題について

こんにちは、川越駅前校です。

本日は大学入試についてのお話です。

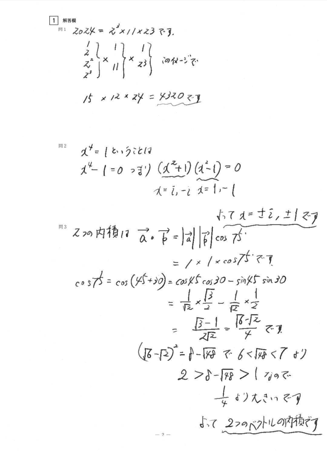
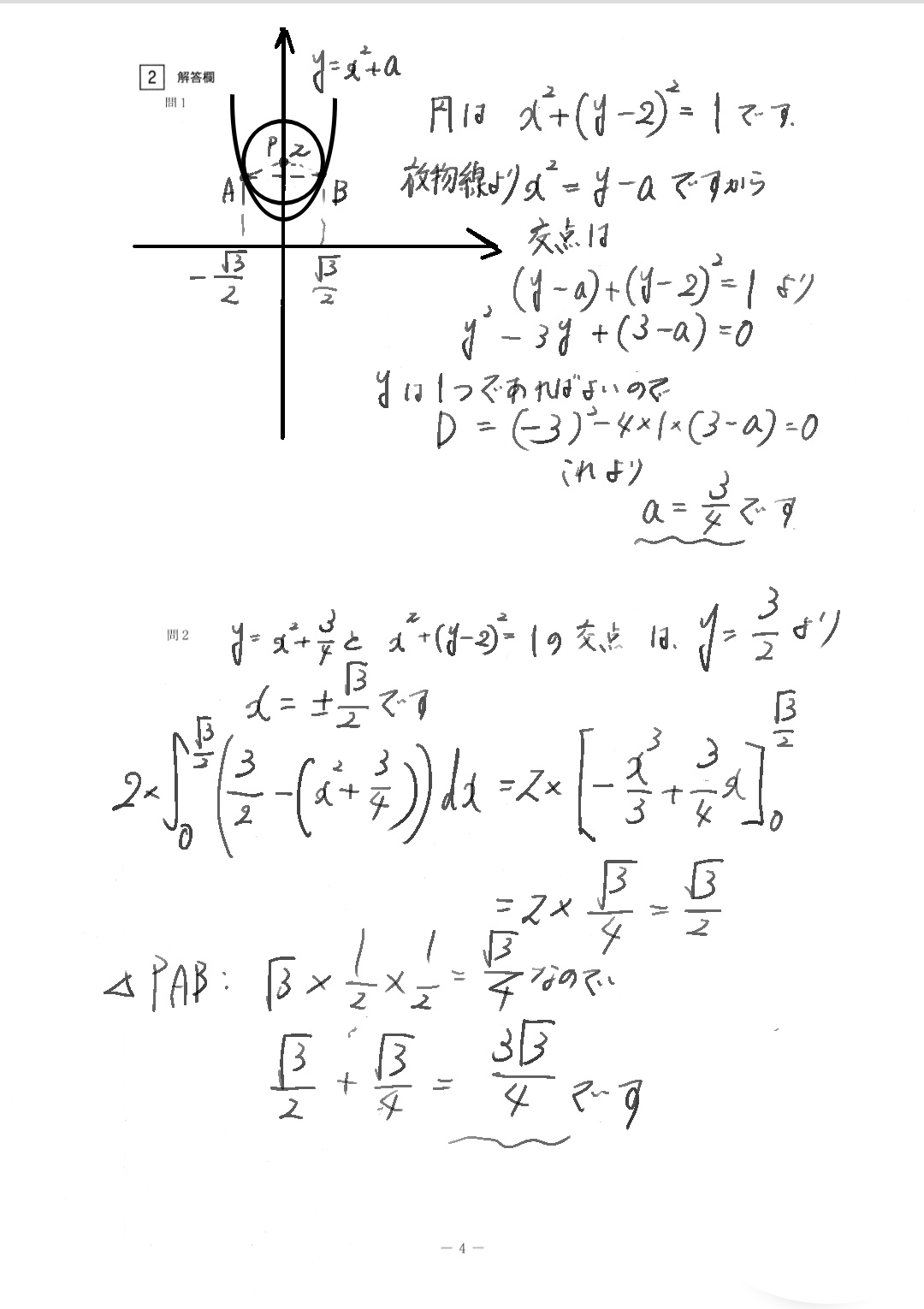
琉球大学 文系数学

 

大問2題構成で

1.小問

2.微分と積分

となっています。

 

有名問題を下敷きに構成された、実力を計るとてもよい試験です。

すらすらと本を読むような通り一編の学習ではなく、しっかり自身の手で

動かす意識を強く持って問題に当たりましょう。

この記事をシェア

  • facebook
  • twitter
  • instagram

教室検索

  • 郵便番号で探す
  • 市区町村名・教室名で探す

\入力はカンタン30秒

フリーダイヤル® 0120-20-7733 受付時間:10:00~22:00(年中無休)